BlazeTaq? One-Step SYBR Green RT-qPCR
BlazeTaq? One-Step SYBR? Green RT-qPCR kit
BlazeTaq? One-Step SYBR? Green RT-qPCR kit是基于SYBR Green 染料法的Real Time One-Step RT-PCR反应试剂。试剂盒以RNA为模板,逆转录反应和定量检测可在同一反应管内完成,简化操作的同时可有效降低污染的风险。试剂盒包含了性能优异的逆转录酶,以及含有热启动Taq DNA聚合酶、dNTP和必需的缓冲液成分混合而成的5×预混液。
BlazeTaq? One-Step SYBR? Green RT-qPCR kit使用BlazeTaq RTase Mix将RNA逆转录成cDNA,并使用抗体修饰的Taq DNA聚合酶进行Real Time PCR反应,抗体的完全封闭有效避免了聚合酶在热循环反应前被激活。另外,经优化的Buffer体系大大提高了PCR反应的扩增效率和特异性,且检测灵敏度可达0.1 pg总RNA,适用于各类型RNA模板的检测。
经测试表明,BlazeTaq? One-Step SYBR? Green RT-qPCR kit与各种常用Real Time PCR仪器兼容,并在RNA检测的灵敏度和特异性方面优于竞争对手的产品。
产品优势
灵敏度高:可从低至1 pg的RNA提取物中精确检测目标RNA。
特异性强:有效抑制引物二聚体及非特异性扩增的产生。
扩增效率高:在宽广的GC含量范围内能维持高扩增效率。



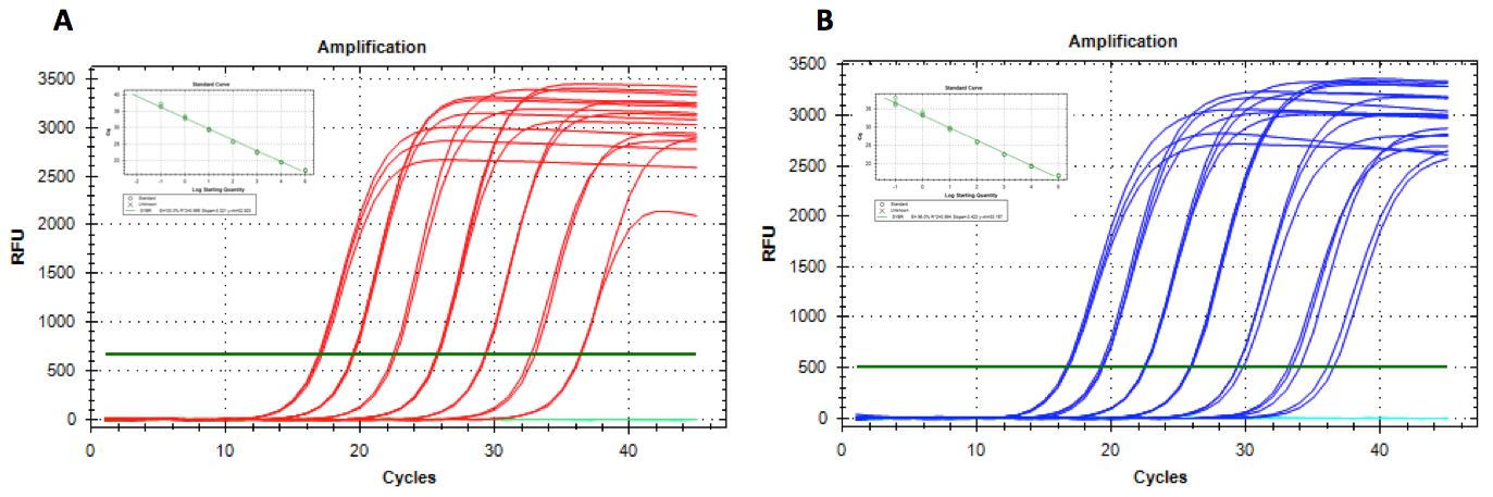
图1. 使用BlazeTaq? One-Step SYBR? Green RT-qPCR kit,对HeLa细胞RNA提取物中GAPDH和Actin水平进行分析,RNA提取物以10倍梯度稀释成7个样本,总量的范围为100 ng至0.1 pg,并设无模板对照(NTC组)。 A.GAPDH的扩增曲线(红色); B.Actin的扩增曲线(蓝色); C.GAPDH(红色)和Actin(蓝色)扩增片段的熔解曲线。

图2. BlazeTaq? One-Step SYBR? Green RT-qPCR kit(红色)与Competitor T试剂盒(蓝色)产品的性能比较。对HeLa细胞RNA提取物中GAPDH和Actin水平进行分析,RNA提取物以10倍梯度稀释成7个样本,总量的范围为100 ng至0.1 pg。 A.HeLa细胞提取物中GAPDH扩增曲线的比较; B.HeLa细胞提取物中Actin扩增曲线的比较。

图3. BlazeTaq? One-Step SYBR? Green RT-qPCR kit(红色)与Competitor P试剂盒(蓝色)产品的性能比较。对HeLa细胞RNA提取物中GAPDH水平进行分析,RNA提取物以10倍梯度稀释成7个样本,总量的范围为100 ng至0.1 pg。 A.HeLa细胞提取物中GAPDH扩增曲线的比较; B.HeLa细胞提取物中GAPDH扩增片段的熔解曲线对比。峰图显示Competitor P试剂盒出现了非特异性扩增。
如需订购,请点击跳转商城